近日,化学工程学院刘诗咏教授在聚合物半导体光催化制氢方面取得突破性进展,在Chemical Science上以“Ultrahigh photocatalytic hydrogen evolution of linear conjugated terpolymer enabled by an ultra-low ratio of benzothiadiazole monomer”为题发表研究论文。刘诗咏教授为该论文通讯作者,bb贝博艾弗森官网为第一完成单位。
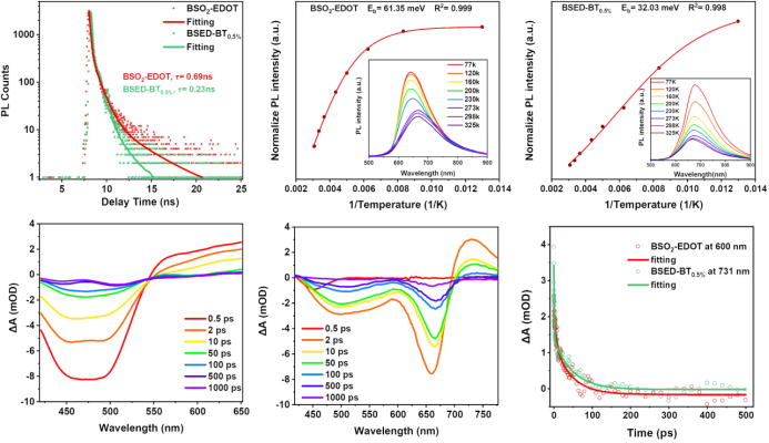
三元共轭聚合物半导体制氢光催化剂,因其结构多样性、性质及性能的丰富可调控性,近年受到研究人员的广泛关注。然而,三元聚合物的第三组分添加比例往往≥ 20%。通过低比例第三组分的添加,实现三元聚合物的高效光催化制氢仍是关键性挑战。基于前期研究(Chemical Science2022, 1725;Macromolecules2024, 7208;J. Colloid & Interface Sci.2025, 688, 818;Chem. Commun.2022, 12680;J. Mater. Chem. A2021, 5787;J. Mater. Chem. A2020, 5890;J. Mater. Chem. A2019, 24222),本论文通过原子经济的C−H直接芳基化成功制备出含有超低比例(0.5 mol%)苯并噻二唑(BT)的新型三元共轭聚合物BSED-BT0.5%(图1),用于光催化裂解水制氢。无需添加Pt助催剂,聚合物BSED-BT0.5%即可表现出极高的光催化析氢活性,在可见光照射下(λ≥420 nm),析氢速率可达222.28 mmol h-1g-1,表观量子产率(AQY)在475 nm下高达24.35%3 mg BSED-BT0.5%光催化剂光照两小时后即可产生80 mL氢气。值得注意的是,该催化剂在冬日阳光照射下,仍能保持141.37 mmol h-1g-1的析氢速率。系统的机理研究表明,三元聚合物BSED-BT0.5%具有更宽泛的光吸收以及更高的H+亲和力。fs-TA证实BSED-BT0.5%具有更高的非辐射率,可使更多的光生电子快速转移至活性位点。此外,该聚合物具有极低的激子结合能,可产生长寿命载流子,从而以更高效的方式将H+还原成H2(图1及2)。该成果为高性能聚合物光催化剂的设计提供了全新思路。


图1:C−H直接芳基化合成BT类三元共聚物光催化剂(左)及其超快电子转移途径示意图(右)

图2:时间分辨荧光、变温荧光、及飞秒瞬态吸收光谱图
刘诗咏教授为我校引进的高层次人才,入选2024年全球前2%顶尖科学家“年度科学影响力排行榜”榜单,长期致力于聚合物半导体合成及新能源应用研究,如太阳能电池及光催化制氢。以第一完成人获江西省自然科学二等奖1项,主持国家基金3项。以第一作者或通讯作者发表SCI论文80余篇。近年来培养博士毕业生3名,硕士毕业生15名,其中省级优秀硕士论文3人。
《Chemical Science》(中科院大类一区Top期刊,Nature Index期刊)创刊于2010年,为英国皇家化学会旗舰刊物,主要发表化学领域最前沿、最重要、最具挑战性的高影响力研究成果,是国际化学领域最具影响力的三大综合性学术期刊之一,也是国际上衡量科研小组研究水平的重要标志性期刊。论文链接:https://doi.org/10.1039/D5SC01438G
撰稿:杨芳 审稿:余长林 签发:隋亦可